Samsung Galaxy XCover 7 Pro Spotted on FCC Database: Moniker Confirmed and Key Details Revealed
Followed by the Galaxy XCover 7 rugged smartphone, the South Korean consumer electronics maker – Samsung was said to be working on its pro version and it has now made it to the FCC certification platform. Also, via this new listing, the smartphone’s moniker along with a few of its key specs have been revealed.
Here’s more about the update.
Galaxy XCover 7 Pro – FCC Certification
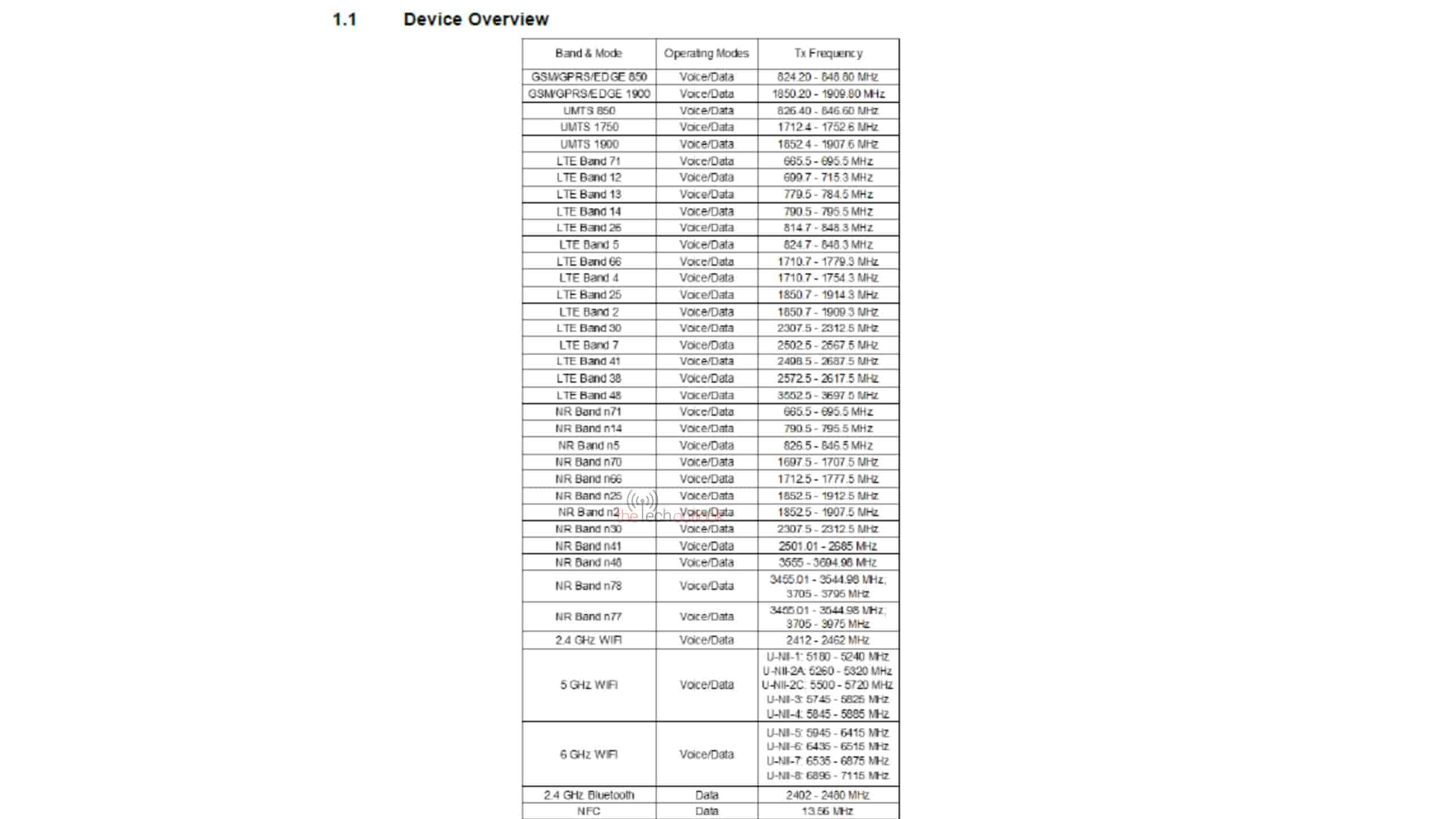
The Samsung Galaxy XCover 7 Pro smartphone models that carry the model numbers – ‘SM-G766U’ and ‘SM-G766U1’ have been spotted on the FCC database and the two have received the certification with the FCC ID of ‘A3LSMG766U’. It is revealed to support 2G/3G/4G/5G network, WiFi 6 (with triple band support), Bluetooth (2.4 GHz), and NFC connectivity. An interior schematic diagram (rear-view) of the device has also been listed on the FCC database.
Speaking more, on the top section, Sub1 (LB/MB/HB/uhb), Sub2 (GPS/WiFi 2.4/5/6G), Sub3 (MB/hhb), Sub4 (WiFi 2.4/5/6G), and Sub5 (mb/hb/uhb) antennas can be spotted. Sub1 (LB/MB/HB/uhb) is likely to handle a wide range (low band, mid band, high band, ultra-high band) of mobile frequency bands; Sub2 (GPS/WiFi 2.4/5/6G) is to handle GPS and multiple WiFi bands (2.4GHz, 5GHz, 6GHz); Sub3 (MB/hhb) seems to cover the mid-band and high-band frequencies; Sub4 (WiFi 2.4/5/6G) is just another WiFi antenna (supports as the Sub2); Sub5 (mb/hb/uhb) covers mid, high, and ultra-high bands.
At the bottom section, Main1 (LB), Main2 (MB/HB/uhb), and Main3 (mb/hb) antennas are present. Main1 (LB) is dedicated to low-band cellular communication, Main2 (MB/HB/uhb) handles mid, high, and ultra-high band frequencies, whereas the Main3 (mb/hb) supports mid and high bands.
Looking at the feedback points and the connections, the Red dot (Feed) that can be seen on the schematic image represents the main signal feed point; Black dot (GND) represents ground connection; and Blue dot (SW) represents a switch or a shared signal switch point. To add, this layout is said to help in optimizing signal performance and antenna isolation, across multiple wireless standards (LTE/5G, WiFi, GPS). [Antenna areas are enclosed in Blue-dash-rectangles.]
About previous updates, the Galaxy XCover 7 Pro models were previously spotted on the TUV Rheinland and Geekbench databases as well. On the TUV Rheinland database, ‘SM-G766B’ (global variant), ‘SM-G766U’ (carrier-locked US variant), ‘SM-G766U1’ (carrier-unlocked US variant), and ‘SM-G766W’ (Canadian variant) models were certified, while it was the ‘SM-G766U1’ model that appeared on the Geekbench database (however it was then misidentified as the Galaxy XCover 8 Pro).
Few of its revealed key specs include Qualcomm’s Snapdragon 7s Gen 3 processor, Adreno 810 GPU, Android 15 OS (with One UI 7 on top), 6GB RAM, and 4265 mAh battery.

Stay tuned for more updates.